Start
Aktuelles
Aktuelles
Ein Film über uns
Wir suchen …
Beruf & Ausbildung
Freiwilliges Soziales Jahr (FSJ)
Wir suchen …
Aushilfe für den Küchenbereich
Das Kreisseniorenzentrum
Überblick & Allgemeines
Leitbild
Organigramm
Geschichte
Maximilian Kolbe
Unser Angebot
Unsere Leistungsangebote
Pflegeangebote & Pflegekonzepte
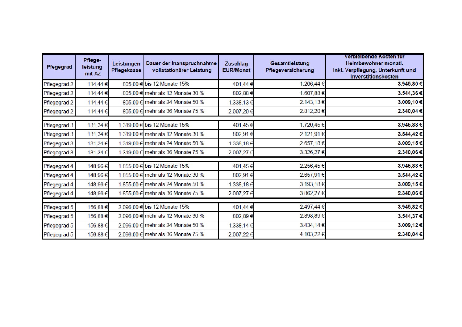
Pflegesätze & Preise
Betreuungsangebote
Verpflegung & Küche
Betreutes Wohnen
Kontakt
Kontakt
Ansprechpartner
Förderverein
Heimfürsprecher
Seite wählen
Unsere Pflegesätze und Preise